详解PC/ABS中VOC来源
乘用车内空气质量评价指南已实施2年多,主机厂到配套厂对此态度各不相同,有人贯彻实施,有人置若罔闻。但在不久的将来,评价指南将升级为法规文件,车内空气质量将有法可依,有法可循。
在汽车内饰塑料中,PC/ABS所占比例不小。特别是豪华级车,PC/ABS所用料可达5-10KG/车。PC/ABS中可挥发性小分子(VOC)不容小觑,那让我们一起来了解下PC/ABS中VOC来源。

首先,原料中残留单体及乳化剂等;
PC无论是光气法或酯交换法,残留单体比较少。PC一般纯度比较高,这与先进的生产工艺及自身聚合方式密不可分。但酯交换法PC生产过程中会产生苯酚物质,不可避免残留有苯酚物质。
ABS生产过程中,会残留苯乙烯及丙烯腈单体。另外乳液法生产ABS中,80%的乳化剂——十二烷基苯磺酸类物质会残留在橡胶粉中,不易脱除。还有一部分AS分子量调节剂,如十二烷基硫醇或雕白粉会留下来,但其易溶于水,故而较易脱除。
其次,原料生产过程中的溶剂;
PC中经常使用溶剂是CH2Cl2,本体法ABS中溶剂是甲苯或乙苯,而因甲苯毒性较大,现以乙苯溶剂居多。如脱灰装置不完善,溶剂会滞留在产品中,成为VOC物质。值得一提的是,苯类物质是VOC重点管控对象。
第三类,助剂,如相容剂,润滑剂及脱模剂;
PC与ABS中SAN相部分相容,而与PB相不相容,故而会加入相容剂来改善两者相容性。某些低分子相容剂可能会影响VOC散发水平。另外,为了增加物质间的内润滑,配方中会引入润滑剂,低分子润滑剂也可能成为VOC物质。最后,在加工中为改善脱模性,经常使用的办法是外喷一些脱模剂。外喷脱模剂以有机物质为主,也可能会影响VOC散发水平。
最后,降解副产物
较之ABS物质,PC较易分解。在PC/ABS体系中,一般不会发生酸碱降解或亲和试剂降解。在不添加助剂时,PC/ABS主要会发生水解及醇解。
PC的吸水率一般在0.2%左右,PC分子链上的酯基对水十分敏感,尤其是高温下易发生水解形成小分子,故一般要求PC加工时含水率不超过0.02%。
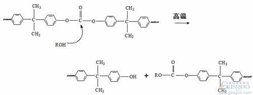
图1. PC水解过程
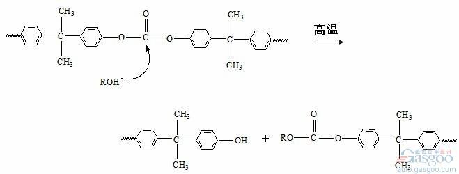
在高温下,羟基会进攻酯基发生反应,PC分子链发生断裂形成小分子。光气法PC的端羟基含量约为5%,酯交换法PC的端羟基含量约为20%,所以酯交换法PC比光气法PC更容易发生醇解,更易生成更多的小分子。
图2. PC醇解过程
了解PC/ABS中VOC来源后,对症下药,在原材料源头及材料加工上双管齐下,可有效管控好VOC物质,打造出超低散发塑料。
(文章来源:盖世汽车网)
欢欢@盖世汽车供应链
悠悠@盖世汽车
豆豆@盖世汽车









