68家车企“银十”销量排行榜:自主品牌又笑了
根据乘联会最新数据,盖世汽车整理了2016年10月中国车企狭义乘用车批发销量排行榜。延续“金九”的火热,“银十”车市依然向好。数据显示,2016年10月份,中国狭义乘用车批发销量达2,306,340辆,同比增长22%,环比增长3.8%。1~10月累计销售18,538,394辆,累计同比增长17.8%。而从本次所统计的68家车企销量上来看,多家车企销量数据创出月度新高,而自主品牌依旧保持着相当强悍的增长。

以上数据来源于:全国乘联会
自主车企再飙新高
在盖世汽车本次所统计的39家自主车企中,28家汽车销量实现同比增长,8家下降,3家没有同期对比数据。
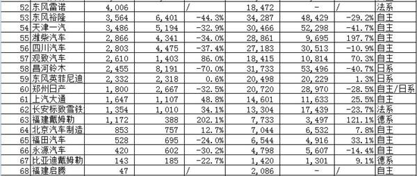
其中长安、长城、吉利三强企业依然不负众望,本月销量增势强劲。尤其是吉利汽车,今年1-10月份一直表现不俗,近几个月更是以黑马之势入围前十,本月再创新高,月销接近10万,同比增幅达85%,月度排位赛中晋升至第七。而长安和长城的销量亦可圈可点,长安汽车得益于旗下的轿车、SUV、MPV车型的均衡发展,在各个细分领域均收获颇丰,7款车型月销量过万,继续领跑自主品牌。而长城汽车在SUV火爆态势助推下,10月整体车型销量过十万大关,其中SUV占比近9成,共计销售94005辆,当中哈弗H6可以说是功不可没。
除了三强外,自主品牌中同样需要给予鲜花和掌声的还有上海汽车、广汽乘用车、东风小康、东风乘用车、华晨鑫源、江铃汽车、昌河汽车、一汽吉林,增幅分别为:147.1%、52%、67.8%、69.8%、105.9%、515.4%、54.9%、91.9%。
日系车企排名普降
除自主品牌外,本次统计车企中还涉及德系7个,其中5家实现增长,1家销量下滑,1家无同期对比数据。美系3个,均实现增长;两个韩系品牌中,北京现代虽然仍据前十,然同比去年下降10个百分点,东风悦达起亚则保持增长,增幅达23.9%。法系车3家,其中长安标致雪铁龙本月实现增长,增幅达34.1%,神龙汽车依旧下滑,东风雷诺无同比数据。
整体来说,以上各个系别相对还算均衡,不过日系车与之前相比情况则不是特别理想,就排名来说,本月整体普遍有所下滑,所统计的11家日系车企中,与九月相比,7家出现落势,不过幅度所好不是特别大。而在同比销量上,11家企业中5家呈现同比负增长,前十中也仅剩东风日产独居其中。
以下是具体排名:




以上数据来源于:全国乘联会
欢欢@盖世汽车供应链
悠悠@盖世汽车
豆豆@盖世汽车







